Pakiet udost�pnia �rodowiska EQ i EQA s�u��ce do prezentacji
wzor�w matematycznych (jest zgodny z pakietem showkeys).
G��wn� r�nic� w stosunku do �rodowisk
equation i eqnarray jest to, �e wzory s� numerowane
tylko wtedy, gdy w tek�cie wyst�puje do nich odwo�anie
(oczywi�cie przez etykiet�).
Pakiet posiada nast�puj�ce opcje:
|
allnumber
|
numerowane s� wszystkie wzory (definiowane �rodowiskami EQ
lub EQA) -- nie tylko te do kt�rych s� odwo�ania
|
|
warning
|
podawane s� komunikaty o wzorach etykietowanych, do kt�rych nie ma
odwo�a�
|
|
easyold
|
definiowane s� �rodowiska wyst�puj�ce w starszych wersjach pakietu:
EQS,
EQS*,
EQ*,
EQA*
|
|
fleqn
|
wzory s� dosuni�te do lewego marginesu; lewy margines mo�na ustali�
poleceniem \eqleftmargin{d�ugos�}; je�li
r�wnocze�nie jest u�yta opcja leqno
to wielko�� marginesu musi uwzgl�dni� miejsce
na oznaczenie wzoru |
|
leqno
|
oznaczenia wzor�w s� wstawiane z lewej strony
|
|
math
|
powoduje definiowanie dodatkowych makroinstrukcji przydatnych przy
sk�adzie wzor�w
|
Prosty przyk�ad
\begin{EQ}\label{eq:1}
\frac{x}{y} = z
\end{EQ}
\begin{EQ}\label{eq:2}
\frac{x}{y} = z
\end{EQ}
I will refer only to \eqref{eq:1} or,
in the old style, \refeq{eq:1}.
|  |
ilustruje dzia�anie i przy okazji pokazuje, �e zosta�y zdefiniowane dwie makroinstrukcje
s�u��ce
do powo�ania si� na dany wz�r (makroinstrukcja ref nie w��cza
mechanizmu oznaczania wzoru i generowania etykiet),
r�nice w dzia�aniu wida� na ilustracji; uzgodnienie po��cze� wymaga trzykrotnej kompilacji.
Zar�wno �rodowisko EQ jak i EQA mo�e s�u�y� do budowy
tabel, r�nica polega na tym, �e w przypadku EQ ca�y wz�r jest
opatrzony jednym numerem, a w przypadku EQA numerem jest
opatrzony
ka�dy wiersz tabeli (o ile jest on zaetykietowany
i jest do niego odwo�anie lub
zosta�o u�yte polecenie \yesnumber).
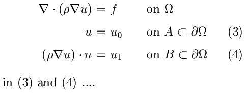
\begin{EQ}[rcll]
\nabla\cdot(\rho\nabla u)&=&f \qquad
&\mbox{on $\Omega$} \\
u&=&u_{0}&\mbox{on $A\subset\partial\Omega$} \\
(\rho\nabla u)\cdot n&=&u_{1}
&\mbox{on $B\subset\partial\Omega$}\label{eq2}
\end{EQ}
in \eqref{eq2} ....
|  |
\begin{EQA}[rcll]
\nabla\cdot(\rho\nabla u)&=&f \qquad
&\mbox{on $\Omega$} \\
u&=&u_{0}&\mbox{on $A\subset\partial\Omega$}
\label{eq3}\\
(\rho\nabla u)\cdot n&=&u_{1}
&\mbox{on $B\subset\partial\Omega$}\label{eq4}
\end{EQA}
in \eqref{eq3} and \eqref{eq4} ....
|  |
W obu �rodowiskach parametr opcjonalny okre�la spos�b pozycjonowania
poszczeg�lnych kolumn:
| l | -- |
do lewej kraw�dzi
|
| c | -- |
centralnie
|
| r | -- |
do prawej kraw�dzi
|
| . | -- |
powoduje skasowanie odleg�o�ci mi�dzy kolumnami (odpowiada
mi�dzykolumnowej specyfikacji
@{})
|
polecenia przej�cia do nowego wiersza (//) mo�na u�ywa� nawet wtedy, gdy
parametr opcjonalny nie jest zdefiniowany -- domy�lnie zdefiniowana
jest jedna wycentrowana kolumna (ale nie jest przewidziane miejsce
na oznaczenie wzoru).
Do ��czenia kolumn s�u�y makroinstrukcja \eqmulticol o nast�puj�cej
sk�adni:
\eqmulticol{ncol}{align}{zawarto��}
gdzie:
|
ncol | -- |
liczba ��czonych kolumn
|
|
align | -- |
spos�b pozycjonowania kolumny (tak jak w opcjonalnym parametrze
�rodowisk)
|
|
zawarto�� | -- |
zawarto�� kolumny
|
Dodatkowe polecenia:
\yesnumber -- wymusza numerowanie wzoru (lub wiersza tabeli
w kt�rym jest u�yty)
\begin{EQ}[rcl]\yesnumber
a & = & \frac{1}{23} \\
b & = & \sqrt{\frac{1}{23}}
\end{EQ}
|
|
equationleft -- powoduje, �e wszystkie nast�pne wzory b�d� dosuni�te
do lewego marginesu (p. opcja fleqn)
equationcenter -- powoduje, �e wszystkie nast�pne wzory b�d�
centrowane
numberleft -- powoduje, �e we wszystkich nast�pnych wzorach
oznaczenia b�d� po lewej stronie (p. opcja lefteqno)
numberright -- powoduje, �e we wszystkich nast�pnych wzorach
oznaczenia b�d� po prawej stronie
\eqspacing{odleg�o��} -- odleg�o�� przed i po wzorze
\eqcolumnsep{odleg�o��} -- odleg�o�� mi�dzy kolumnami
\eqrowsep{odleg�o��} -- odleg�o�� mi�dzy wierszami
\eqlabeltop -- oznaczenie wzoru na g�rze
\eqlabelbot -- oznaczenie wzoru na dole
\eqlabelcenter -- oznaczenie wzoru centralnie
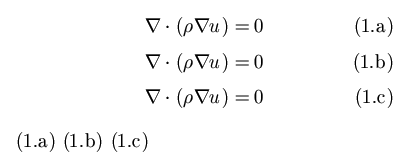
\eqlabeltop
\begin{EQ}
\nabla\cdot(\rho\nabla u) = 0 \\
\nabla\cdot(\rho\nabla u) = 0 \\
\nabla\cdot(\rho\nabla u) = 0 \label[TOP]
\end{EQ}
|
|
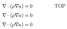
\eqlabelbot
\begin{EQ}
\nabla\cdot(\rho\nabla u) = 0 \\
\nabla\cdot(\rho\nabla u) = 0 \\
\nabla\cdot(\rho\nabla u) = 0 \label[BOT]
\end{EQ}
|
|
\eqlabelcenter
\begin{EQ}
\nabla\cdot(\rho\nabla u) = 0 \\
\nabla\cdot(\rho\nabla u) = 0 \\
\nabla\cdot(\rho\nabla u) = 0 \label[CENTER]
\end{EQ}
|
|
| zmiana pozycji oznaczenia wzoru jest mo�liwa jedynie we wzorach
wieloliniowych. |
makroinstrukcja \label ma dodatkowe w�asno�ci:
|
\label{nazwa_etykiety} | --
| dzia�anie standardowe |
|
\label[tekst] | --
| wz�r zostanie oznaczony podanym
tekstem (nie jest definiowana etykieta,
na kt�r� mo�na si� powo�a�) |
|
\label[tekst]{nazwa_etykiety} | --
| wz�r zostanie oznaczony podanym
tekstem, nazwa_etykiety jest etykiet�,
na kt�r� mo�na si� powo�a� |
|
\label(tekst) | --
| wz�r zostanie oznaczony podanym
tekstem, kt�ry zostanie uj�ty w nawiasy ()
(nie jest definiowana etykieta,
na kt�r� mo�na si� powo�a�) |
|
\label(tekst){nazwa_etykiety} | --
| wz�r zostanie oznaczony podanym
tekstem, kt�ry zostanie uj�ty w nawiasy (),
nazwa_etykiety jest etykiet�,
na kt�r� mo�na si� powo�a� |
Przyk�ad:
\begin{EQA}[c]
\nabla\cdot(\rho\nabla u) = 0
\label(eq.1){eq:custom:a} \\
\nabla\cdot(\rho\nabla u) = 0
\label[eq.2]{eq:custom:b} \\
\nabla\cdot(\rho\nabla u) = 0
\label[***1***]
\end{EQA}
I will refer to
\eqref{eq:custom:a} and
\eqref{eq:custom:b}
|
|
W parametrze makroinstrukcji \label mo�na u�y� znaku
~ -- oznacza on wstawienie polecenia
\theequation z ostatnio u�yt� warto�ci� licznika wzor�w, bez jego
inkrementacji. W ten spos�b �atwo uzyska� efekt dodatkowego numerowania
wzoru
(p. tak�e pakiety
subeqn i subeqnarray)
\begin{EQA}[c]\label{dqq}\yesnumber
\nabla\cdot(\rho\nabla u) = 0 \label(~.a){aqq}\\
\nabla\cdot(\rho\nabla u) = 0 \label(~.b){bqq}\\
\nabla\cdot(\rho\nabla u) = 0\label(~.c){cqq}
\end{EQA}
\eqref{aqq} \eqref{bqq} \eqref{cqq}
|
|
| konieczne jest zdefiniowanie etykiety
na pocz�tku (\label{dqq}\yesnumber),
tak aby zosta�a zwi�kszona warto�� licznika, w przeciwnym razie
kolejne linie by�yby oznaczane (0.a), (0.b) i (0.c)
|
Dodatkowe polecenia aktywowane opcj� math
|
\frac[d�ugo��]{licznik}{mianownik}
| -- |
| parametr opcjonalny pozwala na zmian� grubo�ci kreski u�amkowej
(z powodu b��d�w definicji przed wywo�aniem
pakietu nale�y skasowa� standardow� definicj� makroinstrukcji
poleceniem \let\frac\relax)
|
|
\dfrac[d�ugo��]{licznik}{mianownik}
| -- |
| licznik i mianownik sk�adany jest zawsze w ,,displaystyle''; parametr opcjonalny pozwala na zmian� grubo�ci kreski u�amkowej
|
|
\tfrac[d�ugo��]{licznik}{mianownik}
| -- |
| licznik i mianownik sk�adany jest zawsze w ,,textstyle''; parametr opcjonalny pozwala na zmian� grubo�ci kreski u�amkowej
|
|
\eqbox{zawarto��} |
|
\eqbox(grubo��,odleg�o��){zawarto��}
| -- |
|
makroinstrukcja pozwala na uj�cie fragmentu wzoru w ramk�;
parametr opcjonalny okre�la grubo�� ramki i jej odleg�o�� od zawarto�ci
\[
\eqbox{\int_0^\infty dx}~~~~
\eqbox(2pt,5pt){\int_0^\infty dx}
\]
|
|
|
|
\norm{zawarto��}
| -- |
|
|
|
\abs{zawarto��}
| -- |
|
|
|
\ParDer[definicja mianownika]{licznik}
| -- |
|
|
|
\DIV{zawarto��}
| -- |
|
|
|
\GRAD{zawarto��}
| -- |
|
|
|
\LAPLA{zawarto��}
| -- |
|
|
|
\SUM{od}{do} |
|
\SUM[indeks]{od}{do}
| -- |
|
|
|
\PROD{od}{do} |
|
\PROD[indeks]{od}{do}
| -- |
|
|
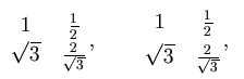
Dodatkowe �rodowiska aktywowane opcj� math
|
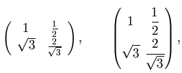
ARRAY
| -- |
r�nic� w stosunku do �rodowiska array
ilustruje przyk�ad (pola tablicy s� sk�adane w ,,displaystyle'')
\[
\left(\begin{array}{cc}
1 & \frac{1}{2} \\
\sqrt{3} & \frac{2}{\sqrt{3}}
\end{array}\right), \qquad
\left(\begin{ARRAY}{cc}
1 & \frac{1}{2} \\
\sqrt{3} & \frac{2}{\sqrt{3}}
\end{ARRAY}\right),
\]
|
|
|
|
MATRIX
| -- |
r�nic� w stosunku do makroinstrukcji matrix
ilustruje przyk�ad (odleg�o�� mi�dzy wierszami)
\[
\matrix{
1 & \frac{1}{2} \cr
\sqrt{3} & \frac{2}{\sqrt{3}}
}, \qquad
\begin{MATRIX}
1 & \frac{1}{2} \\
\sqrt{3} & \frac{2}{\sqrt{3}}
\end{MATRIX}
\]
|
|
|
Pakiet easyeqn wraz z pakietami pomocniczymi jest dost�pny
pod adresem:
ftp://ftp.gust.org.pl/TeX/macros/latex/contrib/easy/
W�odzimierz Macewicz
Ostatnie zmiany: 05.05.2014.